上海恒點傳動設備有限公司
加微信聯系 恒點減速機QQ2:51228482
[HTML] [XML]  産品展示産品展示-RSS  新聞中心新聞中心-RSS  技術支持技術支持-RSS
産品分類: 減速機蝸輪絲杆升降機轉向箱蝸輪蝸杆減速機齒輪減速機行星齒輪減速機擺線針輪減速機無級變速機大功率減速器
上海恒點傳動設備有限公司
資訊分類
和産品相關的技術文章
當前位置:網站首頁 > 技術支持 > 齒輪材料及熱處理質量檢驗的一般規定齒輪材料及熱處理質量檢驗要求(二)(GB/T8539-2000)

齒輪材料及熱處理質量檢驗的一般規定齒輪材料及熱處理質量檢驗要求(二)(GB/T8539-2000)

Tags: S系列斜齒輪蝸輪減速機    發布時間: 2014-06-16

齒輪材料及熱處理質量檢驗要求

齒輪材料及熱處理質量檢驗要求

採用說明:
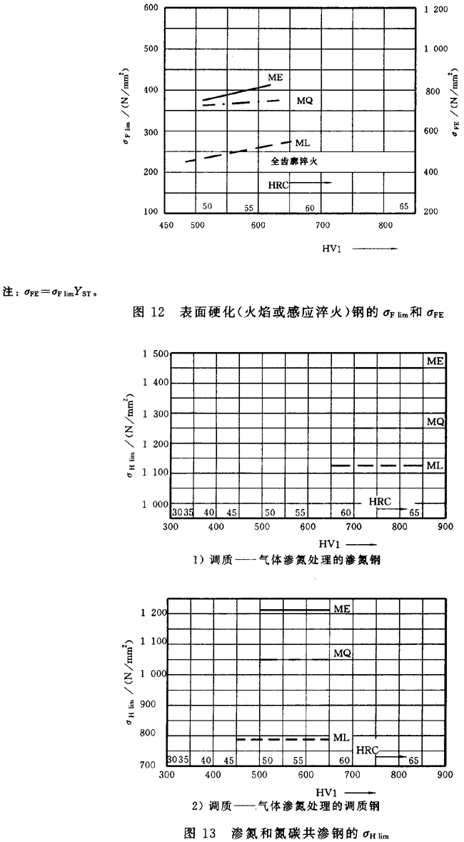
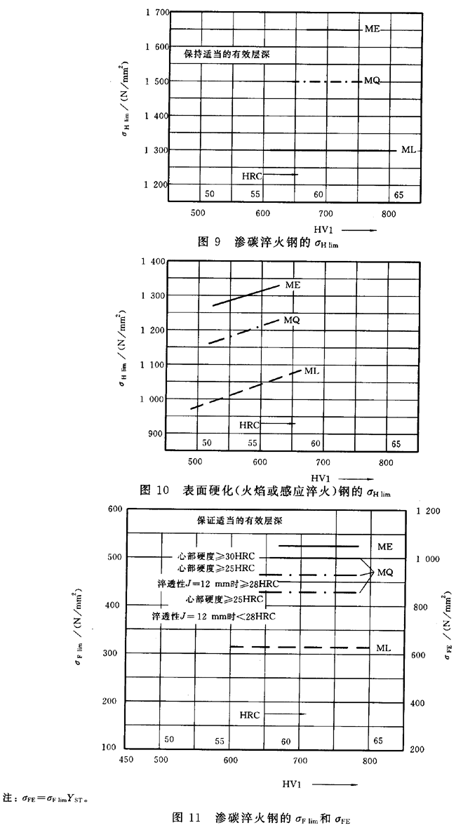
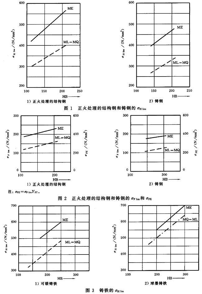
1]ISO文本中本圖(tú)的1)與2)圖(tú)樣颠倒,已訂(dìng)正。
齒輪材料及熱處理質量檢驗要求
齒輪材料及熱處理質量檢驗要求
齒輪材料及熱處理質量檢驗要求
齒輪材料及熱處理質量檢驗要求
齒輪材料及熱處理質量檢驗要求
齒輪材料及熱處理質量檢驗要求
齒輪材料及熱處理質量檢驗要求
上一篇 上一篇: 齒輪材料及熱處理質量檢驗的一般規定齒輪材料及熱處理質量檢驗要求(一)(GB/T8539-2000)
下一篇 下一篇: 齒輪材料及熱處理質量檢驗的一般規定附錄(GB/T8539-2000)
相關新聞文章 > 查看更多
軸承異響-制造與選型缺陷 2026-01-27
機械上聯軸器的型号如何表示 2025-12-17
車用發動機噪聲控制措施 2025-11-26
車削螺紋時常見故障及解決方法-啃刀 2025-08-27
中型電動機軸承故障的分析及改造 2025-08-07
存在在鋼材中的疏松對軸承有什麽危害 2025-07-10
爲什麽有的銑刀上必須有不同的齒距 2025-05-28
錐齒輪承載能力計算方法第1部分:概述和通用影響系數應用(GB/T10062.1-2003) 2025-04-29
滾齒機制造出來的齒輪的間距和深度有什麽規格 2025-02-26
什麽是内引導 2024-11-27
軸承的注脂量對軸承的使用有什麽影響? 2024-10-17
圓柱齒輪 檢驗實施規範 第4部分:表面結構和輪齒接觸斑點的檢驗範圍、引用标準(GB/Z18620.4-2002) 2024-09-07
返回頂部 關閉本頁】 【打印本頁
電 話:021-22815912  021-22816186  傳 真:021-32050712   郵箱:sales@021jsj.cn  減速機 絲杆升降機 轉向箱 蝸輪蝸杆減速機
Copyright©2009-2026上海恒點傳動設備有限公司 版權所有  地址:上海市金山區亭林鎮林寶路39号  郵編:200442  滬ICP備10206998号-2 
友情鏈接機械設備網 | 渦街流量計 | 輸送機 | 變頻控制櫃 | 破碎機 | 工業同城 | 手持終端 | 柴油發電機 | uv平闆打印機 | 風淋室 | QUV | 防火門 | 九愛圖紙 | 感應加熱設備 | 輸送帶廠家 | 噪聲治理 | 西門子plc | 拖鏈電纜 | AGV | 機械雜志 | 現代機械 | UWB高精度定位 |